Controlled drug release

Electrochemically Controlled Drug-Mimicking Protein Release from Iron-Alginate Thin-Films Associated with an Electrode

Novel biocompatible hybrid-material composed of iron-ion-cross-linked alginate with embedded protein molecules has been designed for the signal-triggered drug release. Electrochemically controlled oxidation of Fe2+ ions in the presence of soluble natural alginate polymer and drug-mimicking protein (bovine serum albumin, BSA) results in the formation of an alginate-based thin-film cross-linked by Fe3+ ions at the electrode interface with the entrapped protein. The electrochemically generated composite thin-film was characterized by electrochemistry and atomic force microscopy (AFM). Preliminary experiments demonstrated that the electrochemically controlled deposition of the protein-containing thin-film can be performed at micro-scale using scanning electrochemical microscopy (SECM) as the deposition tool producing polymer-patterned spots potentially containing various entrapped drugs. Application of reductive potentials on the modified electrode produced Fe2+ cations which do not keep complexation with alginate, thus resulting in the electrochemically triggered thin-film dissolution and the protein release. Different experimental parameters, such as the film-deposition time, concentrations of compounds and applied potentials, were varied in order to demonstrate that the electrodepositon and electrodissolution of the alginate composite film can be tuned to the optimum performance. A statistical modeling technique was applied to find optimal conditions for the formation of the composite thin-film for the maximal encapsulation and release of the drug-mimicking protein at the lowest possible potential.


Schematic representation of electrochemical dissolution of the BSAFeAlg film upon reduction of the cross-linking Fe3+ cations resulting in the release of BSA and Fe2+ cations into a solution.

Photographs represent formation of the alginate gel in the solution with Fe3+ cations composed of alginate (1.5% w/w), FeCl3 (35 mM) (right), while alginate solution with Fe2+ cations composed of alginate (1.5% w/w), FeSO4 (35 mM), and 0.1 M Na2SO4 remains a viscous liquid (left).

Cyclic voltammograms obtained on the BSAFeAlg-modified graphite electrode in 0.1 M Na2SO4 aqueous solution, pH 6; potential scan rates: a) 50, b) 100, c) 150 mV∙s-1. The BSAFeAlg-film was prepared by the electrochemical deposition at 0.8 V for 60 s from the aqueous solution composed of alginate (1.5% w/w), FeSO4 (35 mM), BSA (2.5 mg/mL) and 0.1 M Na2SO4.

The AFM topography images and the corresponding cross-sectional profiles of the BSAFeAlg films electrodeposited for 50 s (a), 100 s (b), 200 s (c), and 400 s (d) from the solution composed of alginate (1.5% w/w), FeSO4 (35 mM), BSA (2.5 mg/mL) and 0.1 M Na2SO4 upon application of 0.8 V.

(A) Optical microscope image of the Fe3+-cross-linked alginate microspot produced by SECM on a Pt-support from the 100 mM Na2SO4, pH 6.0, electrolyte solution containing 1.5% w/w alginate and 5 mM FeSO4 upon application of 0.8 V for 60 s; 1 mM Ru(NH3)6Cl3 was present in the solution as a redox probe for SECM. (B) The topography of the electrochemically generated alginate microspot imaged by the AFM.

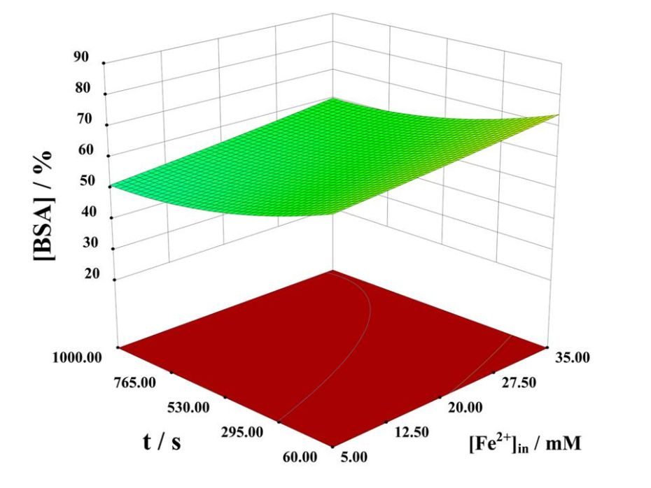
Effects of the deposition time (t) and initial iron concentration ([Fe2+]in) on the electrochemically released BSA concentration ([BSA]), at room temperature, –1.19 V releasing potential and 0.96 % (w/w) initial alginate concentration used for the polymer film deposition.

updated on December 23, 2011